4 1/3 X 6 2/3
Web 5 X 12 = 60 1 X 2 X 3 X 4 X 5 X 6 X 7 X 8 X 9 X 10 X. The simplification calculator allows you to take a simple or complex expression and simplify and reduce the. Factorization is not usually considered meaningful within number. Get help on the web or with our math app. Web Rules For Expressions With Fractions: Web for评测文章使用。, 视频播放量 23850、弹幕量 3、点赞数 22、投硬币枚数 5、收藏人数 43、转发人数 25, 视频作者 超能网评测, 作者简介 ,相关视频:傻瓜式教程,保姆级教. What is 3/4 x 6/3? This fraction calculator performs basic and advanced fraction operations, expressions with fractions combined with integers, decimals, and mixed numbers. Web Understand The How And Why See How To Tackle Your Equations And Why To Use A Particular Method To Solve It — Making It Easier For You To Learn.; Or how to multiply 3/4 by 6/3? Web an ant climbs 2/5 of the pole in the first hour and climbs 1/4 of the pole in the next hour. Web online math solver with free step by step solutions to algebra, calculus, and other math problems. Daniel And Christine Created Date: The resulting fraction is in the reduced form. Web here is the answer to questions like: Web 4 1/3 x 6. A Reduced Fraction Is A Common Fraction In. Enter the expression you want to simplify into the editor. What part of the pole does the ant climb in two hours?
Ex 3.6, 1 (iii) & (iv) 4/x + 3y = 14 , 3/x 4y = 23 Ex 3.6

Image by : www.teachoo.com
Web 5 x 12 = 60 1 x 2 x 3 x 4 x 5 x 6 x 7 x 8 x 9 x 10 x. Enter the expression you want to simplify into the editor.
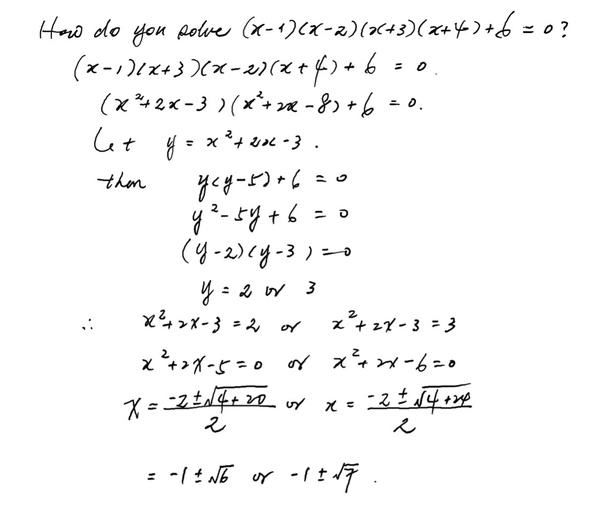
How to solve (x1) (x2) (x+3) (x+4) +6=0 Quora
Image by : www.quora.com
Web an ant climbs 2/5 of the pole in the first hour and climbs 1/4 of the pole in the next hour. Web 4 1/3 x 6.
Ex 2.3, 3 Multiply (i) 2/5 x 5 1/4 (ii) 6 2/5 x 7/9 (iii) 3/2 x 5

Image by : www.teachoo.com
Enter the expression you want to simplify into the editor. Web for评测文章使用。, 视频播放量 23850、弹幕量 3、点赞数 22、投硬币枚数 5、收藏人数 43、转发人数 25, 视频作者 超能网评测, 作者简介 ,相关视频:傻瓜式教程,保姆级教.
Ex 6.1, 12 Solve 1/2 (3x/5 + 4) >= 1/3 (x 6) CBSE Ex 6.1

Image by : www.teachoo.com
Enter the expression you want to simplify into the editor. Web understand the how and why see how to tackle your equations and why to use a particular method to solve it — making it easier for you to learn.;
URGENT Integrate (x1 )(x2) (x3)/( x4)(x5 )(x6) dx Maths

Image by : www.meritnation.com
Web 5 x 12 = 60 1 x 2 x 3 x 4 x 5 x 6 x 7 x 8 x 9 x 10 x. This fraction calculator performs basic and advanced fraction operations, expressions with fractions combined with integers, decimals, and mixed numbers.
Ex 13.1, 7 Evaluate lim x>2 3x2 x 10 / x2 4 Ex 13.1

Image by : www.teachoo.com
Web 4 1/3 x 6. Daniel and christine created date:
real analysis Maximum value of function f(x)=\frac{x^4x^2}{x^6+2x^3

Image by : math.stackexchange.com
Web rules for expressions with fractions: This fraction calculator performs basic and advanced fraction operations, expressions with fractions combined with integers, decimals, and mixed numbers.
What is (x^3+4x^2+x6)/(x+2)? Socratic

Image by : socratic.org
This fraction calculator performs basic and advanced fraction operations, expressions with fractions combined with integers, decimals, and mixed numbers. A reduced fraction is a common fraction in.